1. Probe description
The Missing Number probe assesses students’ number sequence understanding through two test types:
- Missing Number Ascending (MNA): Students identify whether a sequence of numbers is in ascending order (tick ✓ or cross ✗)
- Missing Number Choice (MNC): Students select the correct missing number from multiple options
In 2025 there are four forms used in the screening:
- MNA0-20 (Foundation B) and MNC0-20 (Foundation A)
- MNA0-100 (Year 1A) and MNC0-100 (Year 1B)
All forms are administered at BOY (Term 1), MOY (Term 3), and EOY (Term 4).
This report excludes ABR alternate forms (is_abr == TRUE).
Download Foundation student data (wide format)
Download Year 1 student data (wide format)
2. Overview of test results
| 1 |
Missing Number Ascending 0-20 |
MNA0-20_2025 |
1172 |
6/30 |
83.3 |
5.66 |
| 3 |
Missing Number Ascending 0-20 |
MNA0-20_2025 |
647 |
8/30 |
90.0 |
8.40 |
| 4 |
Missing Number Ascending 0-20 |
MNA0-20_2025 |
514 |
9/30 |
90.0 |
9.41 |
| 1 |
Missing Number Choice 0-20 |
MNC0-20_2025 |
1245 |
5/30 |
83.3 |
4.29 |
| 3 |
Missing Number Choice 0-20 |
MNC0-20_2025 |
771 |
7/30 |
100.0 |
6.67 |
| 4 |
Missing Number Choice 0-20 |
MNC0-20_2025 |
559 |
8/30 |
100.0 |
8.33 |
| 1 |
Missing Number Ascending 0-100 |
MNA0-100_2025 |
1308 |
7/40 |
91.7 |
7.35 |
| 3 |
Missing Number Ascending 0-100 |
MNA0-100_2025 |
861 |
9/40 |
100.0 |
9.23 |
| 4 |
Missing Number Ascending 0-100 |
MNA0-100_2025 |
584 |
9/40 |
93.3 |
10.00 |
| 1 |
Missing Number Choice 0-100 |
MNC0-100_2025 |
1102 |
7/30 |
100.0 |
7.64 |
| 3 |
Missing Number Choice 0-100 |
MNC0-100_2025 |
630 |
8/30 |
100.0 |
9.18 |
| 4 |
Missing Number Choice 0-100 |
MNC0-100_2025 |
483 |
10/30 |
100.0 |
10.91 |
|
| * Accuracy is calculated after removing non-attempted items. |
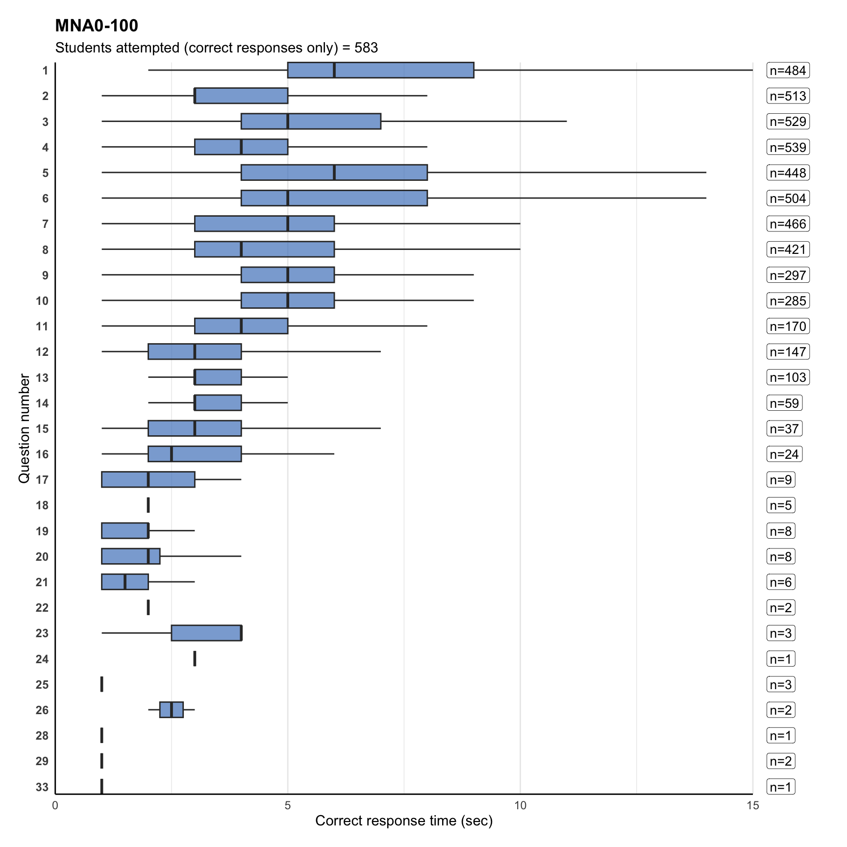
4. Response time distribution
5. Fluency distribution
Fluency distribution

|
Term
|
Students
|
25th percentile
|
Median
|
75th percentile
|
|
Term 1
|
1172
|
3.40
|
5.66
|
8.18
|
|
Term 3
|
647
|
6.32
|
8.40
|
10.59
|
|
Term 4
|
514
|
7.50
|
9.41
|
11.78
|
Bottom quartile vs rest

|
Term
|
Group
|
Students
|
25th percentile
|
Median
|
75th percentile
|
|
Term 1
|
Bottom 25%
|
300
|
1.22
|
2.18
|
3.05
|
|
Term 1
|
Rest
|
872
|
5.26
|
6.79
|
8.78
|
|
Term 3
|
Bottom 25%
|
163
|
3.21
|
4.36
|
5.56
|
|
Term 3
|
Rest
|
484
|
7.92
|
9.23
|
11.32
|
|
Term 4
|
Bottom 25%
|
130
|
4.55
|
6.00
|
6.81
|
|
Term 4
|
Rest
|
384
|
9.06
|
10.38
|
12.74
|
Fluency distribution

|
Term
|
Students
|
25th percentile
|
Median
|
75th percentile
|
|
Term 1
|
1245
|
2.18
|
4.29
|
7.20
|
|
Term 3
|
771
|
4.36
|
6.67
|
9.41
|
|
Term 4
|
559
|
5.51
|
8.33
|
10.63
|
Bottom quartile vs rest

|
Term
|
Group
|
Students
|
25th percentile
|
Median
|
75th percentile
|
|
Term 1
|
Bottom 25%
|
314
|
1.00
|
1.15
|
2.03
|
|
Term 1
|
Rest
|
931
|
3.75
|
5.56
|
8.00
|
|
Term 3
|
Bottom 25%
|
200
|
1.37
|
2.58
|
3.48
|
|
Term 3
|
Rest
|
571
|
6.23
|
8.18
|
10.21
|
|
Term 4
|
Bottom 25%
|
140
|
2.68
|
4.20
|
4.87
|
|
Term 4
|
Rest
|
419
|
7.57
|
9.41
|
11.32
|
Fluency distribution

|
Term
|
Students
|
25th percentile
|
Median
|
75th percentile
|
|
Term 1
|
1308
|
5.36
|
7.35
|
9.77
|
|
Term 3
|
861
|
6.92
|
9.23
|
11.54
|
|
Term 4
|
584
|
7.78
|
10.00
|
12.45
|
Bottom quartile vs rest

|
Term
|
Group
|
Students
|
25th percentile
|
Median
|
75th percentile
|
|
Term 1
|
Bottom 25%
|
336
|
3.16
|
4.20
|
4.71
|
|
Term 1
|
Rest
|
972
|
6.79
|
8.57
|
10.38
|
|
Term 3
|
Bottom 25%
|
219
|
4.29
|
5.45
|
6.32
|
|
Term 3
|
Rest
|
642
|
8.89
|
10.19
|
12.24
|
|
Term 4
|
Bottom 25%
|
155
|
5.26
|
6.43
|
7.35
|
|
Term 4
|
Rest
|
429
|
9.55
|
11.11
|
13.58
|
Fluency distribution

|
Term
|
Students
|
25th percentile
|
Median
|
75th percentile
|
|
Term 1
|
1102
|
4.80
|
7.64
|
10.53
|
|
Term 3
|
630
|
6.27
|
9.18
|
12.45
|
|
Term 4
|
483
|
8.08
|
10.91
|
13.80
|
Bottom quartile vs rest

|
Term
|
Group
|
Students
|
25th percentile
|
Median
|
75th percentile
|
|
Term 1
|
Bottom 25%
|
278
|
2.40
|
3.33
|
4.17
|
|
Term 1
|
Rest
|
824
|
6.82
|
8.89
|
11.25
|
|
Term 3
|
Bottom 25%
|
158
|
2.95
|
4.21
|
5.17
|
|
Term 3
|
Rest
|
472
|
8.57
|
10.78
|
13.33
|
|
Term 4
|
Bottom 25%
|
122
|
4.92
|
6.32
|
7.20
|
|
Term 4
|
Rest
|
361
|
10.38
|
12.22
|
15.00
|
6. MNC Distractor selection
This section shows which answer students selected for Missing Number Choice (MNC) tests.
Click on any plot to view an enlarged version in a lightbox popup.
7. Item statistics
| Q# |
Question |
Error type |
Error pos. |
Cross dec. |
N resp. |
% Correct |
Med. RT |
95th RT |
Item disc. |
| Term 1 |
| 1 |
9 10 11 12 |
— |
— |
— |
1138 |
78.8 |
10.0 |
32.00 |
0.11 |
| 2 |
7 8 9 10 |
— |
— |
— |
1072 |
82.7 |
7.0 |
20.70 |
0.07 |
| 3 |
15 17 18 19 |
a |
B |
n |
1001 |
71.0 |
7.0 |
19.00 |
0.10 |
| 4 |
13 14 14 15 |
b |
M |
n |
902 |
81.4 |
7.0 |
16.00 |
0.09 |
| 5 |
0 1 2 3 |
— |
— |
— |
820 |
91.2 |
5.0 |
11.00 |
0.04 |
| 6 |
8 9 11 12 |
c |
M |
y |
674 |
77.4 |
6.0 |
14.00 |
0.17 |
| 7 |
13 14 15 16 |
— |
— |
— |
525 |
82.1 |
5.0 |
11.00 |
0.12 |
| 8 |
10 9 10 11 |
d |
B |
y |
411 |
84.2 |
5.0 |
10.00 |
0.18 |
| 9 |
17 81 19 20 |
e |
B |
n |
283 |
34.6 |
4.0 |
10.00 |
0.04 |
| 10 |
12 13 14 15 |
— |
— |
— |
200 |
69.5 |
4.0 |
9.00 |
-0.18 |
| 11 |
0 1 2 3 |
— |
— |
— |
154 |
84.4 |
3.0 |
8.00 |
0.20 |
| 12 |
11 12 13 41 |
e |
E |
n |
115 |
53.9 |
2.0 |
7.00 |
0.24 |
| 13 |
16 17 18 17 |
d |
E |
n |
91 |
49.5 |
2.0 |
6.40 |
0.23 |
| 14 |
9 11 12 13 |
c |
M |
y |
72 |
61.1 |
2.0 |
5.00 |
0.34 |
| 15 |
16 17 18 19 |
— |
— |
— |
54 |
70.4 |
2.0 |
5.00 |
-0.01 |
| 16 |
5 6 7 8 |
— |
— |
— |
52 |
59.6 |
2.0 |
5.00 |
0.12 |
| 17 |
11 11 12 13 |
b |
B |
n |
44 |
50.0 |
2.0 |
4.95 |
0.30 |
| 18 |
16 17 18 19 |
— |
— |
— |
29 |
58.6 |
2.0 |
4.20 |
-0.12 |
| 19 |
11 12 13 14 |
— |
— |
— |
25 |
64.0 |
1.5 |
3.00 |
0.33 |
| 20 |
12 13 15 16 |
a |
M |
n |
21 |
57.1 |
1.0 |
2.00 |
0.63 |
| 21 |
14 15 16 17 |
— |
— |
— |
19 |
84.2 |
2.0 |
5.25 |
NA |
| 22 |
13 14 16 17 |
a |
M |
n |
13 |
76.9 |
1.0 |
2.00 |
NA |
| 23 |
0 1 2 3 |
— |
— |
— |
11 |
81.8 |
1.0 |
2.60 |
NA |
| 24 |
9 10 11 12 |
— |
— |
— |
8 |
50.0 |
2.0 |
2.00 |
NA |
| 25 |
16 17 81 19 |
e |
E |
n |
8 |
37.5 |
1.0 |
1.90 |
NA |
| 26 |
9 8 7 8 |
d |
E |
n |
6 |
33.3 |
1.5 |
1.95 |
NA |
| 27 |
15 16 17 18 |
— |
— |
— |
3 |
33.3 |
1.0 |
1.00 |
NA |
| 28 |
5 6 7 7 |
b |
E |
n |
3 |
66.7 |
1.0 |
1.00 |
NA |
| 29 |
17 18 19 20 |
— |
— |
— |
2 |
50.0 |
2.0 |
2.00 |
NA |
| 30 |
8 9 11 12 |
c |
M |
y |
2 |
50.0 |
1.0 |
1.00 |
NA |
| Term 3 |
| 1 |
9 10 11 12 |
— |
— |
— |
630 |
91.4 |
8.0 |
21.00 |
0.20 |
| 2 |
7 8 9 10 |
— |
— |
— |
595 |
92.9 |
5.0 |
14.00 |
0.20 |
| 3 |
15 17 18 19 |
a |
B |
n |
598 |
81.4 |
6.0 |
16.70 |
0.23 |
| 4 |
13 14 14 15 |
b |
M |
n |
582 |
90.4 |
5.0 |
12.75 |
0.10 |
| 5 |
0 1 2 3 |
— |
— |
— |
561 |
95.5 |
5.0 |
10.00 |
0.06 |
| 6 |
8 9 11 12 |
c |
M |
y |
524 |
87.2 |
5.0 |
11.00 |
0.10 |
| 7 |
13 14 15 16 |
— |
— |
— |
471 |
93.8 |
5.0 |
11.00 |
0.09 |
| 8 |
10 9 10 11 |
d |
B |
y |
406 |
91.9 |
4.0 |
9.00 |
0.09 |
| 9 |
17 81 19 20 |
e |
B |
n |
307 |
34.5 |
5.0 |
13.00 |
0.29 |
| 10 |
12 13 14 15 |
— |
— |
— |
228 |
89.9 |
4.0 |
8.00 |
0.01 |
| 11 |
0 1 2 3 |
— |
— |
— |
178 |
93.8 |
3.0 |
7.00 |
0.06 |
| 12 |
11 12 13 41 |
e |
E |
n |
100 |
47.0 |
3.0 |
7.00 |
0.26 |
| 13 |
16 17 18 17 |
d |
E |
n |
68 |
61.8 |
4.0 |
7.00 |
0.21 |
| 14 |
9 11 12 13 |
c |
M |
y |
44 |
68.2 |
3.0 |
10.30 |
0.46 |
| 15 |
16 17 18 19 |
— |
— |
— |
26 |
76.9 |
2.5 |
8.30 |
-0.22 |
| 16 |
5 6 7 8 |
— |
— |
— |
21 |
95.2 |
2.0 |
5.00 |
-0.01 |
| 17 |
11 11 12 13 |
b |
B |
n |
16 |
93.8 |
2.0 |
3.30 |
NA |
| 18 |
16 17 18 19 |
— |
— |
— |
12 |
66.7 |
2.0 |
3.30 |
NA |
| 19 |
11 12 13 14 |
— |
— |
— |
10 |
90.0 |
2.0 |
3.60 |
NA |
| 20 |
12 13 15 16 |
a |
M |
n |
5 |
60.0 |
2.0 |
2.00 |
NA |
| 21 |
14 15 16 17 |
— |
— |
— |
5 |
60.0 |
2.0 |
2.90 |
NA |
| 22 |
13 14 16 17 |
a |
M |
n |
5 |
60.0 |
2.0 |
4.70 |
NA |
| 23 |
0 1 2 3 |
— |
— |
— |
4 |
75.0 |
2.0 |
2.00 |
NA |
| 24 |
9 10 11 12 |
— |
— |
— |
3 |
66.7 |
1.5 |
1.95 |
NA |
| 25 |
16 17 81 19 |
e |
E |
n |
2 |
100.0 |
1.0 |
1.00 |
NA |
| 26 |
9 8 7 8 |
d |
E |
n |
2 |
50.0 |
1.0 |
1.00 |
NA |
| 27 |
15 16 17 18 |
— |
— |
— |
1 |
0.0 |
NA |
NA |
NA |
| 28 |
5 6 7 7 |
b |
E |
n |
1 |
100.0 |
1.0 |
1.00 |
NA |
| 29 |
17 18 19 20 |
— |
— |
— |
1 |
0.0 |
NA |
NA |
NA |
| 30 |
8 9 11 12 |
c |
M |
y |
1 |
100.0 |
1.0 |
1.00 |
NA |
| Term 4 |
| 1 |
9 10 11 12 |
— |
— |
— |
504 |
93.5 |
6.0 |
17.50 |
0.11 |
| 2 |
7 8 9 10 |
— |
— |
— |
483 |
93.6 |
4.5 |
12.45 |
0.17 |
| 3 |
15 17 18 19 |
a |
B |
n |
487 |
83.8 |
5.0 |
14.00 |
0.06 |
| 4 |
13 14 14 15 |
b |
M |
n |
478 |
92.5 |
4.0 |
10.00 |
0.10 |
| 5 |
0 1 2 3 |
— |
— |
— |
473 |
96.8 |
4.0 |
10.00 |
0.00 |
| 6 |
8 9 11 12 |
c |
M |
y |
453 |
87.9 |
5.0 |
10.15 |
0.14 |
| 7 |
13 14 15 16 |
— |
— |
— |
427 |
93.0 |
5.0 |
10.20 |
0.02 |
| 8 |
10 9 10 11 |
d |
B |
y |
388 |
95.4 |
4.0 |
9.00 |
0.05 |
| 9 |
17 81 19 20 |
e |
B |
n |
311 |
42.1 |
6.0 |
13.00 |
0.13 |
| 10 |
12 13 14 15 |
— |
— |
— |
240 |
87.9 |
4.0 |
8.00 |
0.10 |
| 11 |
0 1 2 3 |
— |
— |
— |
191 |
93.7 |
3.0 |
5.10 |
0.13 |
| 12 |
11 12 13 41 |
e |
E |
n |
132 |
72.7 |
4.0 |
8.00 |
0.28 |
| 13 |
16 17 18 17 |
d |
E |
n |
96 |
65.6 |
4.0 |
7.00 |
0.25 |
| 14 |
9 11 12 13 |
c |
M |
y |
68 |
75.0 |
3.0 |
5.00 |
0.28 |
| 15 |
16 17 18 19 |
— |
— |
— |
44 |
88.6 |
3.0 |
4.10 |
0.21 |
| 16 |
5 6 7 8 |
— |
— |
— |
31 |
77.4 |
2.0 |
5.00 |
0.21 |
| 17 |
11 11 12 13 |
b |
B |
n |
27 |
81.5 |
2.0 |
4.00 |
0.27 |
| 18 |
16 17 18 19 |
— |
— |
— |
18 |
77.8 |
2.0 |
4.70 |
NA |
| 19 |
11 12 13 14 |
— |
— |
— |
15 |
80.0 |
2.0 |
3.00 |
NA |
| 20 |
12 13 15 16 |
a |
M |
n |
14 |
57.1 |
1.5 |
3.65 |
NA |
| 21 |
14 15 16 17 |
— |
— |
— |
9 |
77.8 |
2.0 |
3.00 |
NA |
| 22 |
13 14 16 17 |
a |
M |
n |
9 |
66.7 |
1.5 |
3.50 |
NA |
| 23 |
0 1 2 3 |
— |
— |
— |
6 |
66.7 |
1.5 |
4.55 |
NA |
| 24 |
9 10 11 12 |
— |
— |
— |
5 |
40.0 |
2.0 |
2.90 |
NA |
| 25 |
16 17 81 19 |
e |
E |
n |
5 |
60.0 |
1.0 |
1.90 |
NA |
| 26 |
9 8 7 8 |
d |
E |
n |
7 |
85.7 |
1.0 |
3.25 |
NA |
| 27 |
15 16 17 18 |
— |
— |
— |
4 |
75.0 |
2.0 |
2.90 |
NA |
| 28 |
5 6 7 7 |
b |
E |
n |
2 |
50.0 |
1.0 |
1.00 |
NA |
| 29 |
17 18 19 20 |
— |
— |
— |
2 |
0.0 |
NA |
NA |
NA |
| 30 |
8 9 11 12 |
c |
M |
y |
2 |
50.0 |
1.0 |
1.00 |
NA |
Question type labels
| Error Type |
| a |
skipped number |
| b |
repeated number |
| c |
skipped decade number |
| d |
inconsistent order (ascending/descending) |
| e |
reversed digits |
| Error Position |
| B |
first digit |
| E |
last digit |
| M |
middle digits |
| Cross Decade |
| n |
erroneous sequence within decade |
| y |
erroneous sequence crossing decade |
| Q# |
Question |
Range |
Cross dec. |
N resp. |
% Correct |
Med. RT |
95th RT |
Item disc. |
| Term 1 |
| 1 |
_14 15 |
H |
N |
1183 |
63.4 |
12.0 |
39.55 |
0.37 |
| 2 |
6 7 _ |
L |
N |
1127 |
80.7 |
8.0 |
21.00 |
0.25 |
| 3 |
12 13 _ |
H |
N |
1017 |
73.5 |
7.0 |
18.65 |
0.36 |
| 4 |
9 _ 11 |
L |
Y |
926 |
73.5 |
6.0 |
14.00 |
0.39 |
| 5 |
17 _ 19 |
H |
N |
739 |
67.8 |
7.0 |
17.00 |
0.43 |
| 6 |
2 _ 4 |
L |
N |
617 |
80.9 |
6.0 |
13.10 |
0.42 |
| 7 |
16 17 _ |
H |
N |
476 |
69.1 |
5.0 |
11.60 |
0.53 |
| 8 |
_ 7 8 |
L |
N |
344 |
74.4 |
5.0 |
10.00 |
0.52 |
| 9 |
12 _ 14 |
H |
N |
252 |
59.5 |
5.0 |
9.00 |
0.59 |
| 10 |
14 _ 16 |
H |
N |
177 |
46.3 |
5.0 |
10.00 |
0.76 |
| 11 |
16 17 _ |
H |
N |
120 |
50.0 |
3.0 |
7.00 |
0.58 |
| 12 |
_ 18 19 |
H |
N |
96 |
55.2 |
3.0 |
6.80 |
0.46 |
| 13 |
4 _ 6 |
L |
N |
73 |
43.8 |
3.0 |
6.45 |
0.51 |
| 14 |
1 2 _ |
L |
N |
62 |
33.9 |
3.0 |
4.00 |
0.50 |
| 15 |
11 12 _ |
H |
N |
49 |
51.0 |
2.0 |
5.00 |
0.38 |
| 16 |
_ 14 15 |
H |
N |
36 |
36.1 |
3.0 |
4.80 |
0.43 |
| 17 |
_ 6 7 |
L |
N |
31 |
41.9 |
2.0 |
3.80 |
0.06 |
| 18 |
10 _ 12 |
H |
Y |
28 |
21.4 |
1.0 |
2.75 |
0.60 |
| 19 |
_ 1 2 |
L |
N |
22 |
50.0 |
1.0 |
7.50 |
-0.03 |
| 20 |
16 _ 18 |
H |
N |
18 |
5.6 |
2.0 |
2.00 |
NA |
| 21 |
4 5 _ |
L |
N |
15 |
33.3 |
2.0 |
3.80 |
NA |
| 22 |
3 _ 5 |
L |
N |
12 |
58.3 |
1.0 |
2.00 |
NA |
| 23 |
_ 16 17 |
H |
N |
7 |
0.0 |
NA |
NA |
NA |
| 24 |
8 9 _ |
L |
Y |
5 |
20.0 |
2.0 |
2.00 |
NA |
| 25 |
_ 15 16 |
H |
N |
3 |
66.7 |
1.0 |
1.00 |
NA |
| 26 |
_ 11 12 |
H |
Y |
2 |
0.0 |
NA |
NA |
NA |
| 27 |
4 5 _ |
L |
N |
3 |
0.0 |
NA |
NA |
NA |
| 28 |
7 8 _ |
L |
N |
2 |
0.0 |
NA |
NA |
NA |
| 29 |
_ 5 6 |
L |
N |
2 |
100.0 |
2.0 |
2.00 |
NA |
| 30 |
5 _ 7 |
L |
N |
1 |
100.0 |
1.0 |
1.00 |
NA |
| Term 3 |
| 1 |
_14 15 |
H |
N |
744 |
82.7 |
10.0 |
32.00 |
0.38 |
| 2 |
6 7 _ |
L |
N |
711 |
88.5 |
6.0 |
18.00 |
0.26 |
| 3 |
12 13 _ |
H |
N |
691 |
87.7 |
6.0 |
16.00 |
0.34 |
| 4 |
9 _ 11 |
L |
Y |
657 |
85.1 |
6.0 |
14.00 |
0.36 |
| 5 |
17 _ 19 |
H |
N |
559 |
85.0 |
7.0 |
16.30 |
0.41 |
| 6 |
2 _ 4 |
L |
N |
491 |
91.4 |
5.0 |
11.00 |
0.35 |
| 7 |
16 17 _ |
H |
N |
424 |
83.5 |
5.0 |
11.00 |
0.50 |
| 8 |
_ 7 8 |
L |
N |
332 |
89.8 |
5.0 |
12.00 |
0.48 |
| 9 |
12 _ 14 |
H |
N |
236 |
78.4 |
5.0 |
11.00 |
0.64 |
| 10 |
14 _ 16 |
H |
N |
160 |
73.8 |
5.0 |
11.15 |
0.74 |
| 11 |
16 17 _ |
H |
N |
109 |
75.2 |
3.0 |
6.00 |
0.72 |
| 12 |
_ 18 19 |
H |
N |
77 |
71.4 |
4.0 |
8.00 |
0.54 |
| 13 |
4 _ 6 |
L |
N |
53 |
60.4 |
3.5 |
7.00 |
0.80 |
| 14 |
1 2 _ |
L |
N |
34 |
67.6 |
4.0 |
8.80 |
0.54 |
| 15 |
11 12 _ |
H |
N |
23 |
73.9 |
2.0 |
5.00 |
0.54 |
| 16 |
_ 14 15 |
H |
N |
18 |
33.3 |
2.0 |
22.25 |
NA |
| 17 |
_ 6 7 |
L |
N |
16 |
43.8 |
4.0 |
10.20 |
NA |
| 18 |
10 _ 12 |
H |
Y |
11 |
81.8 |
2.0 |
5.20 |
NA |
| 19 |
_ 1 2 |
L |
N |
7 |
57.1 |
1.5 |
2.00 |
NA |
| 20 |
16 _ 18 |
H |
N |
4 |
0.0 |
NA |
NA |
NA |
| 21 |
4 5 _ |
L |
N |
3 |
33.3 |
2.0 |
2.00 |
NA |
| 22 |
3 _ 5 |
L |
N |
1 |
0.0 |
NA |
NA |
NA |
| 23 |
_ 16 17 |
H |
N |
1 |
0.0 |
NA |
NA |
NA |
| 24 |
8 9 _ |
L |
Y |
2 |
50.0 |
3.0 |
3.00 |
NA |
| 25 |
_ 15 16 |
H |
N |
1 |
100.0 |
1.0 |
1.00 |
NA |
| 26 |
_ 11 12 |
H |
Y |
2 |
0.0 |
NA |
NA |
NA |
| 27 |
4 5 _ |
L |
N |
1 |
0.0 |
NA |
NA |
NA |
| 28 |
7 8 _ |
L |
N |
1 |
0.0 |
NA |
NA |
NA |
| Term 4 |
| 1 |
_14 15 |
H |
N |
545 |
87.5 |
8.0 |
26.00 |
0.34 |
| 2 |
6 7 _ |
L |
N |
544 |
94.5 |
5.0 |
18.00 |
0.24 |
| 3 |
12 13 _ |
H |
N |
518 |
90.9 |
5.0 |
14.00 |
0.32 |
| 4 |
9 _ 11 |
L |
Y |
519 |
91.5 |
5.0 |
13.30 |
0.25 |
| 5 |
17 _ 19 |
H |
N |
463 |
88.8 |
6.0 |
15.00 |
0.34 |
| 6 |
2 _ 4 |
L |
N |
426 |
93.0 |
5.0 |
12.00 |
0.32 |
| 7 |
16 17 _ |
H |
N |
374 |
91.2 |
5.0 |
11.00 |
0.37 |
| 8 |
_ 7 8 |
L |
N |
309 |
92.2 |
5.0 |
10.00 |
0.43 |
| 9 |
12 _ 14 |
H |
N |
229 |
87.3 |
5.0 |
11.00 |
0.58 |
| 10 |
14 _ 16 |
H |
N |
162 |
79.6 |
4.0 |
8.00 |
0.60 |
| 11 |
16 17 _ |
H |
N |
118 |
83.9 |
3.0 |
7.00 |
0.52 |
| 12 |
_ 18 19 |
H |
N |
86 |
79.1 |
4.0 |
7.65 |
0.60 |
| 13 |
4 _ 6 |
L |
N |
52 |
71.2 |
3.0 |
6.20 |
0.71 |
| 14 |
1 2 _ |
L |
N |
40 |
70.0 |
3.0 |
5.00 |
0.71 |
| 15 |
11 12 _ |
H |
N |
28 |
67.9 |
3.0 |
4.00 |
0.61 |
| 16 |
_ 14 15 |
H |
N |
16 |
50.0 |
3.0 |
6.00 |
NA |
| 17 |
_ 6 7 |
L |
N |
12 |
41.7 |
2.0 |
3.80 |
NA |
| 18 |
10 _ 12 |
H |
Y |
11 |
36.4 |
3.0 |
4.85 |
NA |
| 19 |
_ 1 2 |
L |
N |
9 |
55.6 |
2.0 |
5.40 |
NA |
| 20 |
16 _ 18 |
H |
N |
7 |
57.1 |
3.0 |
4.85 |
NA |
| 21 |
4 5 _ |
L |
N |
6 |
50.0 |
2.0 |
2.90 |
NA |
| 22 |
3 _ 5 |
L |
N |
4 |
25.0 |
2.0 |
2.00 |
NA |
| 23 |
_ 16 17 |
H |
N |
4 |
25.0 |
1.0 |
1.00 |
NA |
| 24 |
8 9 _ |
L |
Y |
3 |
0.0 |
NA |
NA |
NA |
| 25 |
_ 15 16 |
H |
N |
2 |
50.0 |
4.0 |
4.00 |
NA |
| 26 |
_ 11 12 |
H |
Y |
2 |
50.0 |
1.0 |
1.00 |
NA |
| 27 |
4 5 _ |
L |
N |
2 |
50.0 |
3.0 |
3.00 |
NA |
| 28 |
7 8 _ |
L |
N |
2 |
0.0 |
NA |
NA |
NA |
| 29 |
_ 5 6 |
L |
N |
1 |
100.0 |
5.0 |
5.00 |
NA |
| 30 |
5 _ 7 |
L |
N |
1 |
100.0 |
4.0 |
4.00 |
NA |
Question type labels
| Range |
| H |
starting number 10 or more |
| L |
starting number less than 10 |
| Cross Decade |
| N |
sequence does not include a decade number |
| Y |
sequence includes a decade number |
| Q# |
Question |
Error type |
Error pos. |
Range |
Cross dec. |
N resp. |
% Correct |
Med. RT |
95th RT |
Item disc. |
| Term 1 |
| 1 |
32 33 35 36 |
a |
M |
L |
n |
1291 |
81.7 |
9.0 |
25.30 |
0.07 |
| 2 |
17 18 18 19 |
b |
M |
L |
n |
1253 |
88.7 |
5.0 |
13.00 |
0.06 |
| 3 |
47 48 49 50 |
— |
— |
M |
— |
1217 |
87.2 |
7.0 |
16.00 |
0.15 |
| 4 |
7 8 9 10 |
— |
— |
L |
— |
1206 |
96.8 |
5.0 |
10.00 |
0.07 |
| 5 |
78 79 81 82 |
c |
M |
H |
y |
1102 |
78.4 |
8.0 |
16.00 |
0.00 |
| 6 |
84 85 86 87 |
— |
— |
H |
— |
940 |
89.6 |
6.0 |
13.00 |
0.19 |
| 7 |
26 27 28 29 |
— |
— |
L |
— |
789 |
92.0 |
5.0 |
10.00 |
0.10 |
| 8 |
92 93 94 95 |
— |
— |
H |
— |
621 |
93.2 |
5.0 |
9.00 |
0.18 |
| 9 |
29 28 29 30 |
d |
M |
L |
n |
457 |
72.4 |
5.0 |
9.00 |
0.09 |
| 10 |
64 65 66 67 |
— |
— |
M |
— |
319 |
89.3 |
4.0 |
8.00 |
0.33 |
| 11 |
73 74 57 76 |
e |
E |
H |
n |
226 |
75.2 |
4.0 |
8.55 |
0.24 |
| 12 |
50 51 52 53 |
— |
— |
M |
— |
158 |
86.1 |
3.0 |
5.00 |
0.27 |
| 13 |
33 34 35 36 |
— |
— |
L |
— |
110 |
83.6 |
3.0 |
6.00 |
0.23 |
| 14 |
22 23 24 52 |
e |
E |
L |
n |
77 |
70.1 |
3.0 |
6.00 |
0.36 |
| 15 |
9 10 11 10 |
d |
E |
L |
y |
51 |
62.7 |
3.0 |
5.45 |
0.14 |
| 16 |
67 68 69 70 |
— |
— |
H |
— |
32 |
59.4 |
3.0 |
5.10 |
0.46 |
| 17 |
57 58 59 61 |
c |
E |
M |
y |
27 |
51.9 |
3.0 |
4.00 |
0.58 |
| 18 |
15 16 17 18 |
— |
— |
L |
— |
19 |
42.1 |
2.0 |
2.65 |
NA |
| 19 |
7 8 8 9 |
b |
M |
L |
n |
17 |
58.8 |
1.5 |
5.10 |
NA |
| 20 |
53 54 55 56 |
— |
— |
M |
— |
14 |
35.7 |
1.0 |
3.60 |
NA |
| 21 |
81 82 83 84 |
— |
— |
L |
— |
11 |
54.5 |
1.5 |
2.00 |
NA |
| 22 |
90 92 93 94 |
a |
B |
H |
n |
7 |
28.6 |
1.5 |
1.95 |
NA |
| 23 |
45 46 74 48 |
e |
E |
M |
n |
8 |
37.5 |
3.0 |
3.00 |
NA |
| 24 |
25 26 26 27 |
b |
M |
L |
n |
6 |
33.3 |
1.0 |
1.00 |
NA |
| 25 |
31 32 33 34 |
— |
— |
L |
— |
5 |
40.0 |
1.5 |
1.95 |
NA |
| 26 |
100 97 98 99 |
d |
B |
H |
y |
4 |
75.0 |
1.0 |
10.00 |
NA |
| 27 |
79 80 81 82 |
— |
— |
H |
— |
2 |
0.0 |
NA |
NA |
NA |
| 28 |
49 51 52 53 |
c |
B |
M |
y |
1 |
100.0 |
1.0 |
1.00 |
NA |
| 29 |
14 15 61 17 |
e |
M |
L |
n |
1 |
100.0 |
1.0 |
1.00 |
NA |
| Term 3 |
| 1 |
32 33 35 36 |
a |
M |
L |
n |
850 |
83.2 |
7.0 |
20.00 |
0.06 |
| 2 |
17 18 18 19 |
b |
M |
L |
n |
837 |
92.7 |
4.0 |
10.00 |
-0.05 |
| 3 |
47 48 49 50 |
— |
— |
M |
— |
818 |
91.7 |
6.0 |
12.00 |
0.14 |
| 4 |
7 8 9 10 |
— |
— |
L |
— |
817 |
97.6 |
4.0 |
9.00 |
0.02 |
| 5 |
78 79 81 82 |
c |
M |
H |
y |
784 |
80.1 |
6.0 |
13.00 |
0.02 |
| 6 |
84 85 86 87 |
— |
— |
H |
— |
731 |
92.6 |
6.0 |
11.00 |
0.07 |
| 7 |
26 27 28 29 |
— |
— |
L |
— |
659 |
95.0 |
5.0 |
10.00 |
0.02 |
| 8 |
92 93 94 95 |
— |
— |
H |
— |
578 |
96.4 |
5.0 |
8.00 |
0.09 |
| 9 |
29 28 29 30 |
d |
M |
L |
n |
460 |
81.1 |
5.0 |
9.00 |
0.02 |
| 10 |
64 65 66 67 |
— |
— |
M |
— |
367 |
92.4 |
4.0 |
9.00 |
0.11 |
| 11 |
73 74 57 76 |
e |
E |
H |
n |
240 |
81.2 |
4.0 |
8.00 |
0.23 |
| 12 |
50 51 52 53 |
— |
— |
M |
— |
171 |
90.1 |
3.0 |
6.00 |
0.18 |
| 13 |
33 34 35 36 |
— |
— |
L |
— |
131 |
92.4 |
3.0 |
7.00 |
0.01 |
| 14 |
22 23 24 52 |
e |
E |
L |
n |
83 |
69.9 |
3.0 |
5.15 |
0.34 |
| 15 |
9 10 11 10 |
d |
E |
L |
y |
66 |
66.7 |
3.0 |
5.85 |
0.31 |
| 16 |
67 68 69 70 |
— |
— |
H |
— |
45 |
86.7 |
3.0 |
5.10 |
0.24 |
| 17 |
57 58 59 61 |
c |
E |
M |
y |
30 |
50.0 |
3.0 |
5.30 |
0.41 |
| 18 |
15 16 17 18 |
— |
— |
L |
— |
19 |
78.9 |
2.0 |
4.30 |
NA |
| 19 |
7 8 8 9 |
b |
M |
L |
n |
18 |
44.4 |
2.0 |
3.00 |
NA |
| 20 |
53 54 55 56 |
— |
— |
M |
— |
14 |
64.3 |
2.0 |
5.20 |
NA |
| 21 |
81 82 83 84 |
— |
— |
L |
— |
10 |
50.0 |
2.0 |
4.00 |
NA |
| 22 |
90 92 93 94 |
a |
B |
H |
n |
9 |
66.7 |
1.0 |
2.75 |
NA |
| 23 |
45 46 74 48 |
e |
E |
M |
n |
7 |
85.7 |
2.5 |
4.75 |
NA |
| 24 |
25 26 26 27 |
b |
M |
L |
n |
8 |
50.0 |
2.0 |
3.00 |
NA |
| 25 |
31 32 33 34 |
— |
— |
L |
— |
4 |
0.0 |
NA |
NA |
NA |
| 26 |
100 97 98 99 |
d |
B |
H |
y |
4 |
50.0 |
1.0 |
1.00 |
NA |
| 27 |
79 80 81 82 |
— |
— |
H |
— |
3 |
33.3 |
1.0 |
1.00 |
NA |
| 28 |
49 51 52 53 |
c |
B |
M |
y |
3 |
33.3 |
1.0 |
1.00 |
NA |
| 29 |
14 15 61 17 |
e |
M |
L |
n |
2 |
50.0 |
0.0 |
0.00 |
NA |
| 30 |
26 27 28 29 |
— |
— |
L |
— |
2 |
50.0 |
1.0 |
1.00 |
NA |
| 31 |
74 75 76 77 |
— |
— |
H |
— |
2 |
100.0 |
1.5 |
1.95 |
NA |
| 32 |
16 17 18 19 |
— |
— |
L |
— |
2 |
100.0 |
1.0 |
1.00 |
NA |
| 33 |
39 41 42 43 |
c |
B |
M |
y |
1 |
0.0 |
NA |
NA |
NA |
| Term 4 |
| 1 |
32 33 35 36 |
a |
M |
L |
n |
581 |
83.3 |
6.0 |
14.00 |
0.09 |
| 2 |
17 18 18 19 |
b |
M |
L |
n |
562 |
91.3 |
3.0 |
8.40 |
0.14 |
| 3 |
47 48 49 50 |
— |
— |
M |
— |
564 |
93.8 |
5.0 |
12.60 |
0.05 |
| 4 |
7 8 9 10 |
— |
— |
L |
— |
556 |
96.9 |
4.0 |
9.00 |
-0.03 |
| 5 |
78 79 81 82 |
c |
M |
H |
y |
550 |
81.5 |
6.0 |
12.00 |
0.16 |
| 6 |
84 85 86 87 |
— |
— |
H |
— |
531 |
94.9 |
5.0 |
12.00 |
0.01 |
| 7 |
26 27 28 29 |
— |
— |
L |
— |
488 |
95.5 |
5.0 |
10.00 |
-0.01 |
| 8 |
92 93 94 95 |
— |
— |
H |
— |
448 |
94.0 |
4.0 |
9.00 |
0.00 |
| 9 |
29 28 29 30 |
d |
M |
L |
n |
372 |
79.8 |
5.0 |
10.00 |
0.12 |
| 10 |
64 65 66 67 |
— |
— |
M |
— |
304 |
93.8 |
5.0 |
9.00 |
0.03 |
| 11 |
73 74 57 76 |
e |
E |
H |
n |
212 |
80.2 |
4.0 |
8.00 |
0.30 |
| 12 |
50 51 52 53 |
— |
— |
M |
— |
156 |
94.2 |
3.0 |
6.00 |
-0.08 |
| 13 |
33 34 35 36 |
— |
— |
L |
— |
116 |
88.8 |
3.0 |
6.00 |
0.18 |
| 14 |
22 23 24 52 |
e |
E |
L |
n |
72 |
81.9 |
3.0 |
5.00 |
0.36 |
| 15 |
9 10 11 10 |
d |
E |
L |
y |
46 |
80.4 |
3.0 |
5.00 |
0.28 |
| 16 |
67 68 69 70 |
— |
— |
H |
— |
31 |
77.4 |
2.5 |
5.70 |
0.25 |
| 17 |
57 58 59 61 |
c |
E |
M |
y |
16 |
56.2 |
2.0 |
3.60 |
NA |
| 18 |
15 16 17 18 |
— |
— |
L |
— |
10 |
50.0 |
2.0 |
2.80 |
NA |
| 19 |
7 8 8 9 |
b |
M |
L |
n |
11 |
72.7 |
2.0 |
2.65 |
NA |
| 20 |
53 54 55 56 |
— |
— |
M |
— |
10 |
80.0 |
2.0 |
3.65 |
NA |
| 21 |
81 82 83 84 |
— |
— |
L |
— |
8 |
75.0 |
1.5 |
2.75 |
NA |
| 22 |
90 92 93 94 |
a |
B |
H |
n |
7 |
28.6 |
2.0 |
2.00 |
NA |
| 23 |
45 46 74 48 |
e |
E |
M |
n |
7 |
42.9 |
4.0 |
4.00 |
NA |
| 24 |
25 26 26 27 |
b |
M |
L |
n |
3 |
33.3 |
3.0 |
3.00 |
NA |
| 25 |
31 32 33 34 |
— |
— |
L |
— |
5 |
60.0 |
1.0 |
1.00 |
NA |
| 26 |
100 97 98 99 |
d |
B |
H |
y |
4 |
50.0 |
2.5 |
2.95 |
NA |
| 27 |
79 80 81 82 |
— |
— |
H |
— |
2 |
0.0 |
NA |
NA |
NA |
| 28 |
49 51 52 53 |
c |
B |
M |
y |
2 |
50.0 |
1.0 |
1.00 |
NA |
| 29 |
14 15 61 17 |
e |
M |
L |
n |
2 |
100.0 |
1.0 |
1.00 |
NA |
| 30 |
26 27 28 29 |
— |
— |
L |
— |
1 |
0.0 |
NA |
NA |
NA |
| 32 |
16 17 18 19 |
— |
— |
L |
— |
1 |
0.0 |
NA |
NA |
NA |
| 33 |
39 41 42 43 |
c |
B |
M |
y |
1 |
100.0 |
1.0 |
1.00 |
NA |
Question type labels
| Error Type |
| a |
skipped number |
| b |
repeated number |
| c |
skipped decade number |
| d |
inconsistent order (ascending/descending) |
| e |
reversed digits |
| Error Position |
| B |
first digit |
| E |
last digit |
| M |
middle digits |
| Range |
| H |
60-100 |
| M |
40-59 |
| L |
0-39 |
| Cross Decade |
| n |
erroneous sequence within decade |
| y |
erroneous sequence crossing decade |
| Q# |
Question |
Range |
Cross dec. |
N resp. |
% Correct |
Med. RT |
95th RT |
Item disc. |
| Term 1 |
| 1 |
10 _ 12 |
L |
Y |
1092 |
94.6 |
6.0 |
20.00 |
0.17 |
| 2 |
31 32 _ |
L |
N |
1068 |
88.6 |
6.0 |
17.00 |
0.26 |
| 3 |
_ 97 98 |
H |
N |
1028 |
84.1 |
8.0 |
21.00 |
0.35 |
| 4 |
81 _ 83 |
H |
N |
982 |
82.6 |
6.0 |
15.00 |
0.42 |
| 5 |
48 49 _ |
M |
Y |
892 |
83.6 |
6.0 |
15.00 |
0.41 |
| 6 |
7 _ 9 |
L |
N |
810 |
91.6 |
4.0 |
9.00 |
0.20 |
| 7 |
53 _ 55 |
M |
N |
680 |
90.0 |
5.0 |
11.00 |
0.45 |
| 8 |
_ 64 65 |
M |
N |
555 |
85.6 |
5.0 |
11.00 |
0.52 |
| 9 |
27 28 _ |
L |
N |
428 |
87.4 |
4.0 |
9.00 |
0.54 |
| 10 |
57 58 _ |
M |
N |
330 |
82.4 |
4.0 |
8.00 |
0.66 |
| 11 |
_ 61 62 |
M |
Y |
221 |
81.0 |
3.0 |
7.00 |
0.54 |
| 12 |
_ 89 90 |
H |
Y |
150 |
70.7 |
5.0 |
9.00 |
0.74 |
| 13 |
_ 23 24 |
L |
N |
107 |
61.7 |
3.0 |
6.75 |
0.83 |
| 14 |
41 _ 43 |
M |
N |
87 |
64.4 |
2.0 |
4.25 |
0.75 |
| 15 |
5 _ 7 |
L |
N |
64 |
60.9 |
3.0 |
9.10 |
0.72 |
| 16 |
_ 95 96 |
H |
N |
47 |
57.4 |
3.0 |
4.70 |
0.52 |
| 17 |
_ 15 16 |
L |
N |
45 |
22.2 |
2.0 |
3.00 |
-0.32 |
| 18 |
30 31 _ |
L |
Y |
38 |
15.8 |
2.5 |
3.00 |
-0.31 |
| 19 |
77 _ 79 |
H |
N |
23 |
17.4 |
2.0 |
2.85 |
-0.16 |
| 20 |
_ 81 82 |
H |
Y |
16 |
18.8 |
1.0 |
4.60 |
NA |
| 21 |
48 _ 50 |
M |
Y |
14 |
7.1 |
1.0 |
1.00 |
NA |
| 22 |
97 98 _ |
H |
N |
9 |
11.1 |
1.0 |
1.00 |
NA |
| 23 |
63 64 _ |
M |
N |
7 |
0.0 |
NA |
NA |
NA |
| 24 |
55 56 _ |
M |
N |
5 |
60.0 |
2.0 |
2.00 |
NA |
| 25 |
_ 71 72 |
H |
Y |
4 |
0.0 |
NA |
NA |
NA |
| 26 |
28 _ 30 |
L |
Y |
2 |
0.0 |
NA |
NA |
NA |
| 27 |
5 _ 7 |
L |
N |
1 |
100.0 |
1.0 |
1.00 |
NA |
| 28 |
35 36 _ |
L |
N |
1 |
0.0 |
NA |
NA |
NA |
| 29 |
_ 14 15 |
L |
N |
1 |
100.0 |
4.0 |
4.00 |
NA |
| 30 |
22 _ 24 |
L |
N |
1 |
0.0 |
NA |
NA |
NA |
| Term 3 |
| 1 |
10 _ 12 |
L |
Y |
617 |
97.9 |
5.0 |
22.00 |
0.19 |
| 2 |
31 32 _ |
L |
N |
609 |
93.8 |
5.0 |
16.00 |
0.20 |
| 3 |
_ 97 98 |
H |
N |
584 |
90.8 |
6.0 |
19.00 |
0.28 |
| 4 |
81 _ 83 |
H |
N |
560 |
91.8 |
5.0 |
13.00 |
0.30 |
| 5 |
48 49 _ |
M |
Y |
521 |
91.9 |
5.0 |
12.00 |
0.33 |
| 6 |
7 _ 9 |
L |
N |
498 |
94.2 |
4.0 |
8.00 |
0.10 |
| 7 |
53 _ 55 |
M |
N |
452 |
94.5 |
5.0 |
11.00 |
0.32 |
| 8 |
_ 64 65 |
M |
N |
383 |
93.5 |
5.0 |
10.00 |
0.37 |
| 9 |
27 28 _ |
L |
N |
313 |
91.1 |
4.0 |
8.80 |
0.36 |
| 10 |
57 58 _ |
M |
N |
257 |
90.3 |
4.0 |
8.00 |
0.57 |
| 11 |
_ 61 62 |
M |
Y |
198 |
92.9 |
3.0 |
7.85 |
0.43 |
| 12 |
_ 89 90 |
H |
Y |
131 |
86.3 |
5.0 |
10.00 |
0.57 |
| 13 |
_ 23 24 |
L |
N |
101 |
81.2 |
3.0 |
6.00 |
0.79 |
| 14 |
41 _ 43 |
M |
N |
76 |
88.2 |
2.0 |
5.00 |
0.57 |
| 15 |
5 _ 7 |
L |
N |
48 |
79.2 |
3.0 |
5.00 |
0.73 |
| 16 |
_ 95 96 |
H |
N |
30 |
86.7 |
2.5 |
5.00 |
0.61 |
| 17 |
_ 15 16 |
L |
N |
24 |
70.8 |
2.0 |
4.20 |
0.67 |
| 18 |
30 31 _ |
L |
Y |
16 |
56.2 |
2.0 |
3.00 |
NA |
| 19 |
77 _ 79 |
H |
N |
11 |
72.7 |
3.0 |
6.25 |
NA |
| 20 |
_ 81 82 |
H |
Y |
7 |
57.1 |
2.0 |
3.70 |
NA |
| 21 |
48 _ 50 |
M |
Y |
6 |
50.0 |
2.0 |
2.00 |
NA |
| 22 |
97 98 _ |
H |
N |
5 |
40.0 |
1.5 |
1.95 |
NA |
| 23 |
63 64 _ |
M |
N |
3 |
0.0 |
NA |
NA |
NA |
| 24 |
55 56 _ |
M |
N |
2 |
0.0 |
NA |
NA |
NA |
| 25 |
_ 71 72 |
H |
Y |
2 |
50.0 |
1.0 |
1.00 |
NA |
| 26 |
28 _ 30 |
L |
Y |
2 |
0.0 |
NA |
NA |
NA |
| 27 |
5 _ 7 |
L |
N |
2 |
0.0 |
NA |
NA |
NA |
| 28 |
35 36 _ |
L |
N |
2 |
0.0 |
NA |
NA |
NA |
| 29 |
_ 14 15 |
L |
N |
2 |
50.0 |
3.0 |
3.00 |
NA |
| 30 |
22 _ 24 |
L |
N |
1 |
0.0 |
NA |
NA |
NA |
| Term 4 |
| 1 |
10 _ 12 |
L |
Y |
478 |
97.5 |
4.0 |
15.00 |
0.11 |
| 2 |
31 32 _ |
L |
N |
466 |
97.2 |
4.0 |
12.00 |
0.20 |
| 3 |
_ 97 98 |
H |
N |
471 |
94.3 |
5.0 |
15.70 |
0.21 |
| 4 |
81 _ 83 |
H |
N |
457 |
94.5 |
5.0 |
12.00 |
0.24 |
| 5 |
48 49 _ |
M |
Y |
442 |
94.6 |
5.0 |
12.00 |
0.21 |
| 6 |
7 _ 9 |
L |
N |
432 |
91.9 |
3.0 |
8.00 |
0.15 |
| 7 |
53 _ 55 |
M |
N |
395 |
95.4 |
4.0 |
11.00 |
0.28 |
| 8 |
_ 64 65 |
M |
N |
350 |
94.9 |
5.0 |
11.00 |
0.29 |
| 9 |
27 28 _ |
L |
N |
309 |
94.8 |
4.0 |
9.00 |
0.30 |
| 10 |
57 58 _ |
M |
N |
251 |
94.0 |
4.0 |
7.00 |
0.31 |
| 11 |
_ 61 62 |
M |
Y |
207 |
94.2 |
3.0 |
6.30 |
0.31 |
| 12 |
_ 89 90 |
H |
Y |
140 |
89.3 |
4.0 |
9.00 |
0.58 |
| 13 |
_ 23 24 |
L |
N |
116 |
89.7 |
3.0 |
6.00 |
0.35 |
| 14 |
41 _ 43 |
M |
N |
86 |
93.0 |
2.0 |
5.05 |
0.35 |
| 15 |
5 _ 7 |
L |
N |
62 |
91.9 |
3.0 |
5.00 |
0.51 |
| 16 |
_ 95 96 |
H |
N |
45 |
93.3 |
3.0 |
6.00 |
0.57 |
| 17 |
_ 15 16 |
L |
N |
36 |
86.1 |
3.0 |
4.50 |
0.58 |
| 18 |
30 31 _ |
L |
Y |
28 |
85.7 |
2.0 |
4.00 |
0.79 |
| 19 |
77 _ 79 |
H |
N |
24 |
75.0 |
2.5 |
4.00 |
0.87 |
| 20 |
_ 81 82 |
H |
Y |
17 |
82.4 |
2.0 |
4.00 |
NA |
| 21 |
48 _ 50 |
M |
Y |
16 |
68.8 |
2.0 |
2.50 |
NA |
| 22 |
97 98 _ |
H |
N |
8 |
62.5 |
2.0 |
4.80 |
NA |
| 23 |
63 64 _ |
M |
N |
9 |
66.7 |
1.0 |
4.00 |
NA |
| 24 |
55 56 _ |
M |
N |
4 |
25.0 |
3.0 |
3.00 |
NA |
| 25 |
_ 71 72 |
H |
Y |
4 |
75.0 |
2.0 |
3.80 |
NA |
| 26 |
28 _ 30 |
L |
Y |
3 |
33.3 |
1.0 |
1.00 |
NA |
| 27 |
5 _ 7 |
L |
N |
2 |
0.0 |
NA |
NA |
NA |
| 28 |
35 36 _ |
L |
N |
2 |
0.0 |
NA |
NA |
NA |
| 29 |
_ 14 15 |
L |
N |
2 |
0.0 |
NA |
NA |
NA |
| 30 |
22 _ 24 |
L |
N |
2 |
0.0 |
NA |
NA |
NA |
Question type labels
| Range |
| H |
starting number 70 or more |
| M |
starting number 40-69 |
| L |
starting number less than 40 |
| Cross Decade |
| N |
sequence does not include a decade number |
| Y |
sequence includes a decade number |
Item discrimination (point-biserial) measures how well an item separates higher-ability from lower-ability students. Values above ~0.3 are typically “good”, below ~0.2 “weak”. In timed tests, late items can look artificially strong because only fast/able students reach them.
8. Item correct response time